Page 63 - 2014-2016 Çalışma Raporu
P. 63
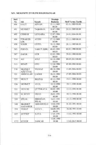
XIV. MESLEKTE 25 YILINI DOLDURANLAR
Sicil Mesleğe
No Adı Sovadı Başlama sicil verme Tarihi
486 HALIT ADVAN l 5. 1 1.1 989 03.t 1.1989 00:00
00:00
491 MEHMET TAŞKIRAN 18.07.1990 20.11.1989 00:00
00:00
493 CEBBAR LEYGARA 12.0,7.|990 24.03.2004 00:00
00:00
494 FERAH DI- AYDIN 27.12.|989 23.11.1989 00:00
LEK 00:00
498 SEMIR GUZEL 18.12.1989 28.11.1989 00:00
00:00
503 PERVTN YAKUT (IŞIK) 08.02.1990 03.01.1990 00:00
00:00
507 ZAFER GUR 02.03.1990 29.01.1990 00:00
00:00
514 AlI AYLI 04.1 0. l 990 09.05.20l2 00:00
00:00
515 REMZI oTo |2.10.1990 05.09.1990 00:00
00:00
518 MEHMET YlLl'lAZ 09.10.1990 13.09.2006 00:00
AZIZ UNAL 00:00
521 ABDULLAH ÇAGER 28.11.1990 2'7 .09.2006 00:00
00:00
525 MESUT BEŞTAŞ 05. 1 2.1 990 19.1 1.1990 00:00
00:00
526 MEHMET ANUL 10.1 2. l 990 1 9.1 1 . 1990 00:00
00:00
531 MESI RE ÇETINKAYA 04.02.|99l 12.12.1990 00:00
00:00
532 M. SEYFI FlDAN 26.0\.199| 18.12.1990 00:00
00:00
534 ZULAL ERDoGAN 16.01.199l 25.12.1990 00:00
BILAL 00:00
540 MEHMET ABBASIOGLU |5.02.199l 01.02.199l 00:00
GAZANFER 00:00
554 VEDAT ERTEN 04.09.1991 26.04.1991 00:00
00:00
635 ZEYNEP KAYA |7 .01.|99I 13.02.1993 00:00
00:00
12.01.1990
|772 EYYÜ.P SANCAR 00:00 l3.02.20l5 00:00
5|4

